Toshiba Achieves World-Class Two-Qubit Gate Performance with Its Suggested Double-Transmon Coupler for Superconducting Quantum Computers. Improving the performance of quantum computers in order to help solve societal problems.
Overview Of Double-Transmon Coupler
Through an assessment of a potential significant advancement in quantum computing, Toshiba Corporation (Toshiba) has validated a breakthrough technology that promises to improve progress toward the construction of higher-performance quantum computers. A Double-Transmon Coupler, a Toshiba-proposed solution for superconducting quantum computers, has been successfully implemented through experiments carried out by a combined research group from Toshiba and RIKEN, one of Japan’s leading comprehensive research organizations.
At the core of quantum computation, a two-qubit gate, the researchers achieved a world-class fidelity of 99.90%. A common performance metric for quantum gates is fidelity, which measures how near to the ideal an operation is on a scale of 0% to 100%. Higher percentages indicate more accurate quantum gate operation.
Toshiba first suggested the Double-Transmon Coupler, an adjustable coupler that is essential to enhancing the performance of superconducting quantum computers, in a September 2022 publication. Its theoretical advantage over traditional tunable couplers in eliminating the long-standing issue of needless residual coupling and allowing high-speed, high-fidelity two-qubit gates has been validated by Toshiba and RIKEN in successful practical implementation.
The coherence time, or the amount of time that the quantum superposition state may be kept critical in quantum computers, has to be increased in order to enhance the performance of two-qubit gates. To lessen the faults it produces, gates must also be operated rapidly and the residual coupling’s strength must be controlled. The Toshiba-RIKEN team achieved a 99.90% fidelity by reducing the residual coupling strength to as low as 6 kHz, producing a short gate time of 48 ns, and achieving a world-class coherence time for the transmon qubit.
It is also possible to use the fixed-frequency transmon qubit, which has a basic shape and is very straightforward to build, in quantum computers that use the Double-Transmon Coupler. This will further progress the rapidly evolving science of quantum computing and pave the path for the large-scale quantum computers necessary for real-world uses like generating new drugs and achieving carbon neutrality.
On November 21, 2024, the findings of this study were published in “Physical Review X,” a prestigious magazine of the American Physical Society.
Background of development
Global research and development of quantum computers, which can solve computing issues beyond classical computers, is growing. Current quantum computers, which are based on quantum physics, which explains how atoms and molecules act, suffer with two-qubit gate reliability. A variety of methods, from the utilization of individual atoms in gases to superconducting electronic circuits, are being investigated in an effort to improve performance. Since the superconducting method makes use of solid-state components, which provide superior stability, scalability, and high quantum gate fidelity, it appears to be a viable strategy.
Superconducting circuits can be implemented in a variety of ways. The basic transmon qubit and the comparatively recent fluxonium qubit8 are two examples of the several types of qubits that are now available. The most popular and simplest qubit at the moment is the transmon qubit. Qubits can also be coupled in a variety of ways, ranging from direct capacitive coupling to coupling that uses an adjustable coupler between the qubits.
Two transmon-type superconducting qubits make up Toshiba’s Double-Transmon Coupler, an adjustable coupler. It can perform high-speed two-qubit gate operations and disable coupling for fixed-frequency transmon qubits with widely disparate frequencies.
A sufficiently long coherence time, longer than the gate operating time, is necessary for its efficient operation, and this can only be accomplished by carefully weighing the superconducting materials, the surrounding circuit design, and the manufacturing procedures. On the other hand, a strong coupling strength between the qubits is essential for high-speed gate operations.
The combined research team from Toshiba and RIKEN successfully carried out the first experimental demonstration of this approach in history, proving its great performance fidelity.
Features of the technology

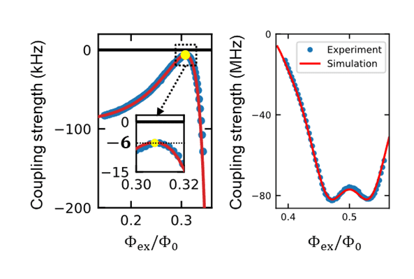
Two qubits are coupled using the Double-Transmon Coupler (Figure 1). It has a loop in the middle with three Josephson junctions (JJ3, JJ4, and JJ5). The coupling between the two qubits may be changed by varying the external magnetic flux Φex10 in the loop with a current. A circuit was constructed for this experiment (Figure 2), and it was shown to have excellent performance. Optical microscope image of the actual fabricated circuit.

A world-class coherence time in the transmon qubits was achieved by refining the two qubits (Q1 and Q2) in terms of form, materials, and fabrication technique. Eleven different kinds of indicators, T1 and T2, were employed. T1 and T2 values were 230 μs and 360 μs in Q1 and 210 μs and 130 μs in Q2, respectively. Gate procedures can be completed in these amounts of time.
It was proven that by varying the external magnetic flux, the coupling strength could be raised to about 80 MHz (Figure 3, right), resulting in a short gate time of 48 ns.
With a detuning (frequency difference) of around 460 MHz, the qubit frequencies in the experiment were set at 4.314 GHz and 4.778 GHz. Crosstalk faults, in which operations in one qubit result in mistakes in the other, were reduced by setting this substantial detuning.
Typical tunable couplers could only reduce residual coupling to tens of kHz with such a huge detuning. Low residual coupling, one of the main characteristics of the Double-Transmon Coupler, was successfully shown experimentally for the first time by reducing the magnitude of coupling strength to as low as about 6 kHz with the proper setup of the external magnetic flux (Figure 3, left).

Dependence of coupling strength on external magnetic flux (where Φ0 denotes the magnetic flux quantum and Φex denotes the external magnetic flux within the loop).
The coupling strength may be varied from a minimum of 6 kHz to a high of 80 MHz by varying the external magnetic flux.
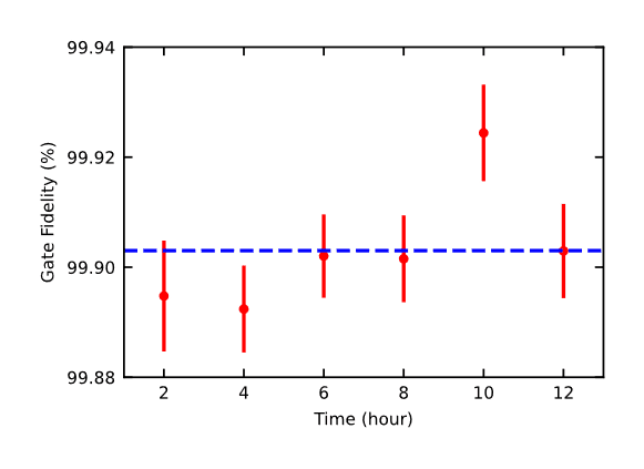
The fidelity of the two-qubit gates remained consistently excellent for the length of the trial, which involved measurements over a 12-hour period. With an average performance of 99.90%, they are among the world’s top (Figure 4). Measurement results of the two-qubit gate fidelity.

Future developments
Aiming for a two-qubit gate integrity of 99.99%, Toshiba and RIKEN will keep improving the double-transmon coupler’s performance. In order to quickly realize a useful quantum computer, the team will also create technologies to scale up the device while preserving its high performance.
The Quantum Leap Flagship Program (Q-LEAP) of the Ministry of Education, Culture, Sports, Science, and Technology (MEXT) provided some funding for this study as part of the “Research and Development of Superconducting Quantum Computers” initiative.

